Månadens hjortmat – hela året
Nyfiken på vad älgar, rådjur, kronhjort och dovhjort äter under ett helt år? Här kan du se en sammanställning från våra två studieområden.
Hjortarnas föda året runt
Foderkategori med beskrivning
Övriga
Allt som inte tilldelades någon av de andra kategorierna, t.ex. olika ormbunkar, fräkenväxter och mossor.
Vattenväxter
T.ex. vattenklöver (Menyanthes trifoliata) eller näckrosor (Nymphaeaceae).
Tågväxter
T.ex. veketåg (Juncus effusus).
Halvgräs
Främst släktet Carex (starrar).
Gräs
Typiska släkten: Avena, Holcus, Hordeum, och Poa.
Örter
Det fanns ganska många, t.ex. röllika (Achillea millefolium), korgblommiga växter (Asteracea), kråkklöver (Comarum palustre), mjölke (Chamaenerion angustifolium), älggräs (Filipendula spp.), måresläktet (Galium spp.) eller klöver (Trifolium spp.)
Rosordningen
Rosordningen är en stor ordning av växter som innehåller nio familjer varav typfamiljen är rosväxterna. Det finns många olika träd och örter som tillhör denna familj så det är svårt att veta vad som har ätits. Rönn (Sorbus aucuparia), till exempel, tillhör rosfamiljen och är en populär föda för älgar, så åtminstone en del av Rosales i dieterna motsvarar troligen rönn.
Övriga buskar
T.ex. kråkbär (Empetrum nigra), skvattram (Rhododendron tomentosum), vinbär/måbär/krusbär (Ribes spp.), brakved (Frangula alnus).
Ljung
Ljung (Calluna vulgaris).
Bärris
Främst blåbär (Vaccinium myrtillus) och lingon (Vaccinium vitis-idaea).
Hallonsläktet
Antagligen främst hallon (Rubus idaeus) men möjligtvis bland annat också hjortron (R. chamaemorus), björnbär (R. fruticosus) eller åkerbär (R. arcticus).
En
En (Juniperus communis).
Övriga lövträd
T.ex. lönn (Acer spp.), bok (Fagus sylvatica), alm (Ulmus spp.), fläder (Sambucus spp.), fruktträd (Prunus spp.).
Ek
Främst skogsek (Quercus robur).
Al
Främst gråal (Alnus incana) i Västerbotten och i Sörmland också klibbal (Alnus glutinosa).
Asp
Främst asp (Populus tremula).
Videväxter
Olika videväxter (Salix spp).
Björk
Främst vårtbjörk (Betula pendula) och glasbjörk (Betula pubescens).
Tall
Främst tall (Pinus sylvestris) och ibland contorta tall (Pinus contorta).
Gran
Gran (Picea abies).
För att tolka våra resultat är det viktigt att vara medveten om några av studiens begränsningar
- Spillningskulan innehåller en blandning av växter som ätits av djuren under de senaste dagarna, och olika växter går igenom matsmältningssystemet olika snabbt. Proportionerna av växtarternas DNA i spillningen motsvarar därför inte exakt de proportioner som djuren ätit. Men studier visar att för de vanligaste fodersorterna så brukar DNA-resultaten matcha verkligheten bra. Dessutom är relativa jämförelser mellan arter intressanta (t.ex proportioner av vedartat material, jämfört med gräs och örter).
- Metoden vi använder ger oss växtartens namn men vi vet inte vilken del av växten som djuret ätit. En älg kan till exempel äta kvist och bark från björk på vintern men äter björkens blad på sommaren. Vi kunde inte heller identifiera föda som inte innehåller klorofyll, till exempel svamp.
- De dieter vi presenterar här är medelsnitt av många spillningsprover (antalet prover ser du ovanför varje stapel i diagrammet). Ju större antal prover, desto mer representativt är resultatet för månaden och hjortarten i fråga. Individuella hjortar kan dock ha väldigt olika dieter från populationens medelsnitt.
- Sist men inte minst, dieter är ofta högst beroende på de lokala omständigheterna, så som fodertillgång i djurets hemområde och konkurrens om foder inom och mellan hjortarter som lever där. Våra resultat bör därför inte extrapoleras till andra delar av Sverige, men ger oss ändå en vägledning och en grund för jämförelser.
Med det sagt hoppas vi att du uppskattar att få se vad våra hjortarter äter under årets tolv månader!
I projektet ”De nordliga hjortdjurens näringsbalansering”, där vi tar stegen från botaniska dietbeskrivningar till att titta på dieternas näringsmässiga innehåll. Några uppdateringar från det arbetet kanske dyker upp här så småningom.
OBS!
Notera att de resultat vi presenterar här är preliminära och till stor del fortfarande inte publicerade i vetenskapliga tidskrifter. Vi ber dig därför att först kontakta oss om du önskar använda dem till något annat än till personligt, icke-kommersiellt nyttjande.
Om vi generaliserar så kan vi se att hjortarna i våra studieområden har anammat en diet som i högre grad består av vedartade växter och örter. Som de typiska selektivbetare de är så är älgars och rådjurs magar dåligt anpassade för att tillgodogöra sig näringen i olika gräsarter då detta normalt sett inte ingår i deras diet. Dovhjortar och kronhjortar är, som blandbetare, mer anpassade till att äta gräs. Men även deras föda har dominerats av mer vedartade växter och örter.
Det är värt att notera att alla fyra hjortarter har konsumerat relativt stora mängder bärris (blåbär och lingon). Älgar betar av dessa under hela året, medan de mindre hjortarterna minskar sin konsumtion av bärris under sommarmånaderna. Kronhjortars diet har till stor del (30–50 procent) utgjorts av björk under sommarmånaderna (juni till september). Vilket är ytterligare en indikation på att de har anpassat sig till en mer skoglig diet.
Tall åts nästan enbart av älg och följde den välkända kurvan med hög andel tall under vintern och med en tydlig minskning under växtsäsongen.
Gran åts av alla arter, men i mindre mängd, och utgjorde sällan mer än 5–10 procent av dieten. Generellt var konsumtionen av gran högre i Sörmland än i Västerbotten. Särskilt gäller detta för kron- och dovhjort, men även älg följer samma mönster. Eftersom gran ofta undviks som föda, så kan detta bero på större konkurrens om födan i Södermanland då populationstätheten av mindre hjortdjur är högre där än i Västerbotten.
Det bör hållas i åtanke att resultaten är specifika för varje enskilt studieområde och lokala förutsättningar gör att resultaten inte kan appliceras på alla områden i Sverige. Till exempel kan den höga andelen lågväxande buskar i vinterdieten vara en följd av lågt snödjup, vilket gjorde denna typ av föda tillgängligt för hjortarna. På samma sätt kan den höga andelen örter och gräs i de Sörmländska hjortarnas diet bero på stödutfodring med hö och ensilage.
Så här mitt i vintern förändras inte så mycket vad gäller de fyra hjortarternas dieter. Dieternas sammansättning ser ganska lika ut i januari som de gjorde i december. Det är anmärkningsvärt hur mycket bärris som konsumeras av samtliga arter, speciellt i Nordmaling. Det är viktigt att poängtera att det inte fanns så mycket snö på marken när vi samlade spillningsproverna i Nordmaling denna månad, vilket betyder att bärriset fortfarande var tillgängligt för djuren. Det går därför inte att rakt av generalisera från dessa resultat till områden i Sverige där snön ligger djupare.
I Sörmland har älgarna i januari ätit mycket tall (ungefär 60 procent av dieten). Detta är ungefär vad vi förväntar oss att älgar ska göra på vintern i Sverige. Det är intressant att se att andelen tall i Nordmaling faktiskt är lägre än andelen bärris. Det kan betyda att bärriset är minst lika passande som tall, eller kanske till och med föredras av älgarna som föda, under vintern.
I Sörmland finns det helt enkelt inte lika mycket bärris tillgängligt, på grund av ett högt betestryck från höga populationer av mindre hjortar. Speciellt dovvilt tror vi betar hårt på bärriset och reducerar buskarnas höjd så pass mycket att det inte längre blir effektivt för älgarna att beta på dem.
Det är också anmärkningsvärt att hjortarna i Sörmland har ätit en hel del gran i januari. Även om andelen är ganska låg (mindre än 10 procent) så är den mycket högre där än i Nordmaling. Samtliga hjortdjur brukar undvika att äta gran om andra födoämnen finns tillgängliga. Hjortarnas relativt stora intag av gran i Sörmland är ytterligare en indikation på att det totala betestrycket är högt där.
Kron- och dovviltet i Sörmland har ätit en stor mängd gräs och örter (ungefär 20 procent), trots att det är mitt i vintern. Dessa två hjortarter är vad vi kallar ”mixed feeders”, vilket betyder att de är flexibla och kan smälta både vedartad föda och gräs i stora mängder. Den stora andelen gräs och örter i januari indikerar förmodligen att de utnyttjar stödutfodringsplatser under denna månad. Det finns förstås också en möjlighet att de finner vissna gräs och kanske små skott under snön eller på snöfria fält.
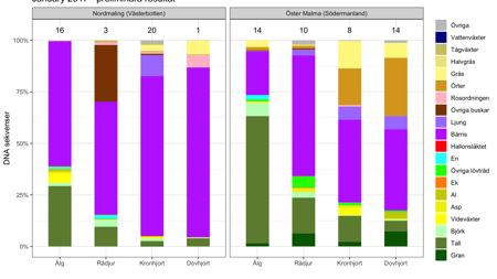
Hjortarnas dieter i februari är ganska lika som de såg ut i januari, vilket är att förvänta sig under vintern.
Andelen tall har ökat lite, till omkring 60 procent i Nordmaling och 70 procent i Sörmland. I Sörmland är nu andelen gran så stor som 10 procent i älgarnas diet. Det kanske inte låter som så mycket, men vanligtvis undviker älgar att äta så mycket gran. Det ser vi till exempel i resultatet från Nordmaling. Trots att tillgången på gran är god där, ser vi inga spår av gran i älgarnas diet. Varför gran utgör en så pass stor andel av älgarnas diet i Sörmland vet vi inte säkert. Det skulle kunna vara ett resultat av hög konkurrens från mindre hjortar om annat foder, eller möjligtvis en bieffekt av stödutfodringen. Det senare är något som vi studerar just nu.
I Sörmland utfodras viltet ofta under vintern. Den höga andelen örter och gräs i kron- och dovviltets dieter där i februari indikerar att de utnyttjar ensilage som lagts ut till viltet.
I vissa områden utfodras det även med socker- och stärkelserika grödor, så som sockerbetor och potatis. Även om tanken kanske är att utfodra vildsvinen med detta, äter även älgar och hjortar ibland dessa rotfrukter. Hjortdjurens vommar är dock inte väl anpassade till att ta hand om så energirika födoämnen, speciellt inte under vintern. Det är möjligt att de därför försöker kompensera obalansen i vommen genom att äta av det närmsta fiberrika födan de hittar, vilket mycket väl kan vara grankvistar.
Det är fortfarande vinter och det sker inte så stora förändringar i de fyra arternas dieter. I Västerbotten har andelen tall i älgens diet ökat till omkring 75 procent. Rådjurens och kronviltets dieter är ungefär likadana som i februari, med undantaget att andelen en har ökat (cirka 5 procent).
Bärriset representerar fortfarande de största dietandelarna hos de mindre hjortdjuren, både i söder och i norr. I Sörmland har andelen bärris hos alla fyra djurarterna ökat sedan i februari, kanske på grund av att snön har smält bort lite mer och exponerat fältvegetationen. Den ökningen i bärris går hand i hand med en minskning av andelen tall i älgarnas diet i Sörmland, och en minskning hos de mindre hjortarterna av växter som förmodligen har sitt ursprung i stödfoder (gräs och örter). Även detta indikerar att djuren till en högre grad nu utnyttjar risbuskarna som blir allt mer tillgängliga under våren.
Våren är i antågande och snön har smält bort på flera platser, inklusive vårt nordliga försöksområde. Jämfört med tidigare månader så har älgarna i Nordmaling minskat sitt intag av tall med cirka 25 procent och utnyttjar i stället det faktum att bärris har blottats. Det senare utgör nu cirka 30 procent av älgarnas födointag i Nordmaling, vilket är en fördubbling mot mars månad.
Även intag av örter och gräs har börjat märkas i de nordliga älgarnas diet. Än så länge utgör det mindre än 5 procent av älgarnas födointag, men för rådjur och kronhjort är det betydligt mer med cirka 20 procent.
Intressant är att rådjur tycks äta en hel del tågväxter under denna månad, cirka 10 procent i Nordmaling och 5 procent i Öster Malma. Ungefär 10 procent av dieten hos kronhjortarna i Nordmaling visar sig också utgöras av halvgräs (Carex sp.).
I Sörmland syns inga större förändringar i dieten hos någon av de fyra hjortarterna. Detta beror sannolikt på det faktum att snön redan hade försvunnit under mars månad och att marktäcket med bärris (blåbär och lingon) därför har varit blottat och tillgängligt en tid.
Mängden örter och gräs har ökat något, särskilt märks detta hos dovhjortarna, kanske till följd av att färska skott nu blivit tillgängliga.
Antalet prov från Sörmland är ovanligt hög denna månad eftersom den sammanföll med den årliga uppskattningen av populationsdensiteten av olika hjortdjur. I inventeringen räknas spillningshögar i mer än 50 transektrutor som vardera är 1x1 km. Det görs för att uppskatta antalet av varje hjortart i området.
I figuren nedan har vi delat upp födointaget i april för vart och ett av de tre år som födointaget har analyserats. Det har varit anmärkningsvärt likartat genom åren, vilket indikerar att våra ansträngningar att samla data har varit fullt tillräckliga, även för de månader då det bara funnits tillgång till data från ett eller två tidigare år.
Tydligast i maj månads dietprofil är den stora andelen bärris (Vaccinium, blåbärs- och lingonris), speciellt i Västerbotten där snön just har smält och det fortfarande är ganska ont om annat foder.
I Södermanland har älgar, kronvilt och dovvilt större proportioner björk i sina dieter. De drar förmodligen nytta av tillgången på nyutslagna blad. I Västerbotten slår ofta inte björkens blad ut förrän under andra halvan av maj.
I Södermanland ser vi också att hallonbusken har ätits, vilket speglar fenologin hos den arten på ett liknande sätt som björken. Vi hade tyvärr inga prover från rådjur i Södermanland denna månad, och bara två prover från älg (så dra inga stora växlar från älgens stapel i diagrammet).
Gräs och örter motsvarar omkring 20 procent av rådjurens och kronviltets diet i maj, och ännu mer (cirka 40 procent) av dovviltets diet. Dovviltet är den art, av de fyra som mest liknar en gräsätare. De gräs och örter vi ser i proverna representerar nog vårens spirande växtlighet i landskapet, men kan också delvis representera lite av vinterns stödutfodring men hö och ensilage. Stödutfodring är ganska vanligt under vintern i vårt studieområde.
Granen är inte en stor del av hjortdjurens diet, men det är intressant att se att granen äts mer av djuren i Södermanland än i Västerbotten. Eftersom granen inte föredras som föda av djuren kan detta vara ett tecken på hög konkurrens om de mest attraktiva foderarterna i Södermanland, där hjorttätheten är mycket högre än i Västerbotten. I Västerbotten innehåller dieterna nästan ingen gran alls.
Tallen utgör en stor del av älgens diet, upp till 30 procent av dieten i maj, men inte hos de mindre hjortarterna.
Ju längre våren framskrider desto fler växter blir tillgängliga för hjortdjuren att äta, och vi ser att deras diet blir mer artrik. Risbuskarna lingon och blåbär utgör fortfarande en stor del av dieten, men blir successivt ersatta av örter och gräs bland de mindre hjortarterna. Vi hittade tyvärr ingen spillning från dovvilt i Västerbotten i juni (de finns bara i en liten del av vårt studieområde) och vi fick bara ett prov från rådjur i Sörmland.
Gran är fortsatt en del av djurens diet. Kronviltet i Västerbotten har en relativt stor andel gran. De kanske drar nytta av de nya skotten som granen producerar under juni månad. DNAt i spillningen säger oss ingenting om vilken del av växten som djuret har ätit, men ”nya-skott hypotesen” får lite stöd av det vi såg i resultatet från maj: då hade i stället samtliga arter i Sörmland relativt mycket gran i sin diet, vilket kanske beror på att skotten kommer ut tidigare där än i Västerbotten?
Bara genom att göra observationer i fält kan vi veta säkert. Detta exempel illustrerar ett sätt som vi forskare använder för att formulera hypoteser som vi sen försöker testa på olika sätt. Ofta lär vi oss viktiga saker genom att göra storskaliga analyser av skillnader mellan populationer, men ibland finner vi spännande saker genom att titta på mindre skala, ända ner till individnivå.
Jämför till exempel medel-dieten hos älgarna i Sörmland i juni med växtsammansättningen i spillningen från de nio olika individerna som ligger bakom medelvärdet.
Om vi skulle fråga hypotetiska observatörer av varje älg vad deras älg äter i juni skulle vi få väldigt olika svar! Allt från ”nästan bara tall” (älg 1), till ”blåbärsris” (älg 3), ”björk” (älg 8) eller ”al” (älg 9). Sen skulle vi undra varför profilerna ser så olika ut? Råkade älg 9 till exempel befinna sig i ett område med mycket al och vide (kanske nära en skogsbilväg eller en bäck), eller sökte den upp dessa växter specifikt för att balansera sitt näringsintag?
Växtsammansättningen i varje individs spillningsprov är förstås bara en ögonblicksbild – det reflekterar måltider under ett par dagar som mest. Kanske vår ”al och vide-älg” åt samma växter som älg 4 någon dag senare? Det är bara genom att lägga ihop data från många individer under en längre tidsperiod som vi kan få en bra bild av djurens dieter.
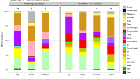
Från juli månad har vi inte så många spillningsprover från våra studieområden. Det beror delvis på att markvegetationen är så tät nu, med rik tillväxt av gräs och örter. Det gör det svårt att hitta spillningshögarna. Dessutom, när det är varmt är spillningsätande insekter extra aktiva, vilket gör att den färska spillningen blir lite mindre lämplig för vår DNA-analys.
Men från de prover vi har kan vi se några intressanta saker, till exempel hur djurens diet har förändrats jämfört med juni. I Nordmaling har älgarna fortsatt minskat sitt intag av tall och äter nu mer björkblad i stället. De äter fortfarande mycket risbuskar (runt 30 procent), till skillnad från rådjuren och kronviltet. Rådjuren har växlat till att äta mer örter och kronviltet har förvånansvärt nog växlat till att äta stora mängder björk. Dovviltet i Sörmland visar på lägre proportioner av vedartat material än föregående månader, och deras diet har blivit dominerad av örter (cirka 60 procent).
I augusti har barrträd nästan helt försvunnit från hjortarnas diet, detta gäller även för älg. Generellt sett är hjortarnas diet mer varierad jämfört med föregående månader. Detta är inte överraskande, eftersom variationen av olika fodertyper är hög även under sommaren. Björklöv verkar vara en stapelföda som står för cirka 20 procent av hjortarnas diet, förutom hos dovhjort som äter en mindre mängd.
Videväxter tycks även vara en viktig del och står för cirka 5 procent av dieten hos de små hjortarterna och 10 till 15 procent hos älg. Även hallon är populärt denna månad. En intressant aspekt är den stora andelen (10 till 15 procent) av al (Alnus spp.) i dieten, framför allt i Öster Malmaområdet.
Al framstår vanligtvis som en ganska oattraktiv födokälla för hjortar, för att det innehåller kemiska föreningar som är matsmältningshämmande, så kallade fenoler. Det finns dock belägg från Nordamerika att koncentrationen av dessa kemiska föreningar i al minskar när hösten närmar sig, medan proteinhalten håller sig mer stabil jämfört med andra lövträd, troligtvis på grund av att al är kvävefixerande (González-Hernández et al., 2000).
På grund av detta är allöv en populär föda under hösten hos nordamerikanska populationer av svartsvanshjort (Odocoileus hemionus columbianus), och Roosevelt-vapiti (Cervus elaphus roosevelti), en släkting till den Europeiska kronhjorten (González-Hernández et al., 2000).
För tillfället kan vi inte säga om detta även stämmer för svenska hjortdjur, men vi undersöker nu den näringsmässiga sammansättningen av hjortdjurs föda här i Sverige.
Referenser
González-Hernández, M.P., Starkey, E.E., Karchesy, J., 2000. Seasonal Variation in Concentrations of Fiber, Crude Protein, and Phenolic Compounds in Leaves of Red Alder (Alnus rubra): Nutritional Implications for Cervids. Journal of Chemical Ecology 26, 293–301. https://doi.org/10.1023/A:1005462100010
Det första som du kanske tänker på när du ser månadens diagram är det stora antalet färger, vilket illustrerar hjortdjurens artrika diet på sensommaren. Det finns fortfarande gott om olika växter i deras hemområden och djuren fortsätter bygga upp sina fettdepåer inför den kommande vintern.
Brunsten har dock redan börjat för kronhjortarna och råbockarna, så dessa handjur ägnar mycket av sin energi till detta och hinner inte äta så mycket.
Hos hjortdjur beror kroppskonditionen till stor del på något som kallas ”voluntary food intake” (VFI, eller ”frivilligt födointag” på svenska), som är delvis påverkat av dagslängden. Under de långa sommardagarna i Sverige når VFI sin topp och hjortviltets kroppar kan då effektivt lagra på sig fett. När dagarna blir kortare under hösten och vintern förändras metabolismen hos hjortdjuren och det lagrade fettet kan börja utnyttjas som energi.
Örter spelar fortfarande en stor roll i de mindre hjortdjurens diet i september. Björkblad är fortsatt populärt bland älgar och kronvilt.
I Öster Malma representerar eken en stor del (cirka 10 procent) av dovviltets diet, och vi finner ek även i rådjurens spillning. Eken finns inte tillgänglig så långt norrut som i Nordmaling. Tyvärr kan vi inte se i våra DNA-resultat om djuren har ätit ekblad eller ekollon, eller både och.
En annan intressant detalj är vattenklöver (Menyanthes trifoliata) har ätits av både rådjur och kronvilt denna månad. Det är möjligt att de valt att äta denna vattenväxt på grund av särskilda näringsämnen de erbjuder. Vi planerar att sätta igång en studie för att lära oss mer om vattenväxternas betydelse för hjortdjurens näringsekologi.
Hjortarnas dieter har inte förändrats så mycket mellan september och oktober. Hösten är igång för fullt. Löven skiftar i färg då träden drar näringen ifrån dem för att göra sig redo för vintern. Kvaliteten i lövträdens foder har därför minskat, vilket reflekteras av att hjortarna har ätit mindre björk denna månad jämfört med tidigare.
Speciellt älgarna har börjat äta mer bärris i stället. I Sörmland har de även ökat sitt intag av tall, från 10 procent i september till nästan 25 procent nu i oktober. Ljung förekommer också oftare nu i hjortarnas dieter, speciellt hos kronviltet i Sörmland.
Alla hjortarter äter också ris från växter i hallonsläktet nu. De som verkar gilla det mest är rådjur och dovvilt. I jordbrukslandskapet i Sörmland märks det att tillgången på örter och gräs fortfarande är hög, då vi ser att dieten hos kron- och dovvilt fortfarande innehåller omkring 50 procent av dessa fodertyper, medan bara 25 procent av kronviltets diet i Västerbotten gör det.

Nu när vintern på riktigt har satt igång, speciellt i vårt nordliga studieområde, ökar mängden bärris (blåbär och lingonris) markant i alla hjortdjurens dieter. Det äts mycket mer av dessa vintergröna växter än i oktober. Som tidigare verkar det vara kronviltet som äter mest ljung.
Andelen gräs och örter har minskat i dieterna i norr, men är fortsatt ganska hög (cirka 30 procent) i Sörmland för kronvilt och dovvilt. Detta beror förmodligen på att viltet i Sörmland stödutfodras med hö och ensilage. I Västerbotten är inte stödutfodring lika vanligt förekommande.
Andelen tall i älgarnas diet har ökat i både norr och söder jämfört med tidigare månader, medan björken nästan har försvunnit från deras diet i norr. Favoritfödan sälgen finns dock kvar på samma nivå (cirka 5 procent) som tidigare under hösten. Forskning har visat att sälgens kvistar har en näringssammansättning som är väl balanserad för älgen vintertid (Felton et al 2016), vilket kan förklara varför de är så attraktiva. Det finns dock inte så mycket sälg tillgängligt för viltet i våra studieområden. Våra mätningar visar att sälgen representerar mindre än 5 procent av allt tillgängligt bete. Det kan förklara varför vi inte ser högre andelar i älgarnas spillning.
Referenser
Felton AM, Felton A, Raubenheimer D, Simpson SJ, Krizsan SJ, Hedwall P-O, et al. (2016) The Nutritional Balancing Act of a Large Herbivore: An Experiment with Captive Moose (Alces alces L). PLoS ONE 11(3): e0150870. doi:10.1371/journal. pone.0150870
https://journals.plos.org/plosone/article?id=10.1371/journal.pone.0150870
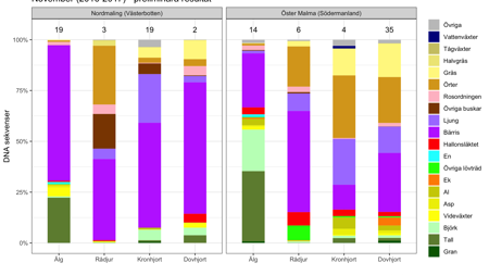
Hjortdjurens dieter i december är liknande de vi såg i november.
För älgen är andelen tall relativt låg, vilket kan bero på att snötäcket är ganska tunt i våra studieområden så blåbärsris och annat bärris är exponerade och tillgängliga. I Öster Malma, där blåbärsriset har blivit hårt betat av samtliga hjortarter, är andelen tall hos älgen nästan dubbelt så hög som hos älgen i Nordmaling, men ändå under 50 procent av den totala dieten.
I Öster Malma består omkring hälften av kronviltets och dovviltets dieter av bärris, och andra hälften av örter och gräs. Vi tror att örter och gräs främst kommer från stödutfodring. Rådjuren har inte ätit så mycket av stödutfodringen, eftersom andelen gräs är mycket låg (mindre än 5 procent), utan har i Öster Malma främst ätit bärris och övriga buskar. Intressant är att rådjuren både i Öster Malma och Nordmaling har ätit ganska stora mängder tågväxter (10 procent i Öster Malma och 15 procent i Nordmaling).
I Nordmaling består kronviltets diet nästan enbart av ljung och bärris. Tyvärr har vi inga spillningsprover från dovvilt i Nordmaling denna månad.
För att tolka våra resultat är det viktigt att vara medveten om några av studiens begränsningar
- Spillningskulan innehåller en blandning av växter som ätits av djuren under de senaste dagarna, och olika växter går igenom matsmältningssystemet olika snabbt. Proportionerna av växtarternas DNA i spillningen motsvarar därför inte exakt de proportioner som djuren ätit. Men studier visar att för de vanligaste fodersorterna så brukar DNA-resultaten matcha verkligheten bra. Dessutom är relativa jämförelser mellan arter intressanta (t.ex proportioner av vedartat material, jämfört med gräs och örter).
- Metoden vi använder ger oss växtartens namn men vi vet inte vilken del av växten som djuret ätit. En älg kan till exempel äta kvist och bark från björk på vintern men äter björkens blad på sommaren. Vi kunde inte heller identifiera föda som inte innehåller klorofyll, till exempel svamp.
- De dieter vi presenterar här är medelsnitt av många spillningsprover (antalet prover ser du ovanför varje stapel i diagrammet). Ju större antal prover, desto mer representativt är resultatet för månaden och hjortarten i fråga. Individuella hjortar kan dock ha väldigt olika dieter från populationens medelsnitt.
- Sist men inte minst, dieter är ofta högst beroende på de lokala omständigheterna, så som fodertillgång i djurets hemområde och konkurrens om foder inom och mellan hjortarter som lever där. Våra resultat bör därför inte extrapoleras till andra delar av Sverige, men ger oss ändå en vägledning och en grund för jämförelser.
Med det sagt hoppas vi att du uppskattar att få se vad våra hjortarter äter under årets tolv månader!
OBS! Notera att de resultat vi presenterar här är preliminära och till stor del fortfarande inte publicerade i vetenskapliga tidskrifter. Vi ber dig därför att först kontakta oss om du önskar använda dem till något annat än till personligt, icke-kommersiellt nyttjande.
Kontakt
-
Person













